米兰在手性活性物质研究方面取得重要进展
发布日期:2020-09-10 供稿:物理学院
编辑:周格羽 审核:姚裕贵 阅读次数:
由自驱动单元组成的活性物质,例如细菌溶液和自驱动胶体,是一类重要的软物质系统。由于其固有的非平衡特性,活性物质经常表现出奇特的行为,并在微器件与智能材料方面具有潜在的应用价值。当前,探索由自旋活性粒子组成的手性活性物质(破缺宇称和时间反演对称性),并理解其反常的物理行为,是软物质领域的一个研究热点。手性活性物质的一个特别有趣的现象是:它在受限条件下可以出现自发的单向集体边缘流,这种边缘流甚至是受拓扑保护的,具有稳定的物料输运能力。对这一独特现象的理解通常是基于不可压缩、无结构的均质流体理论框架。大量研究表明,自旋粒子与约束边界的相互作用对边缘流的出现起着至关重要的作用。然而,除了这种直接的相互作用,由于粒子位置的关联性,约束还会导致空间上不均匀的粒子密度分布。密度不均匀性普遍存在于受限的多体系统中,它对手性活性物质集体行为的影响仍不清楚。

图1 模拟和实验系统示意图
近期,米兰milan官方网站物理学院郑宁副教授与中国科学院物理研究所/北京凝聚态物理国家研究中心软物质实验室的杨明成研究员、叶方富研究员、陈科研究员所在团队开展合作,深入地研究了受限环境中手性活性物质的集体运动行为(图1)。

图2 通过模拟和实验观测到的不同的集体运动模式

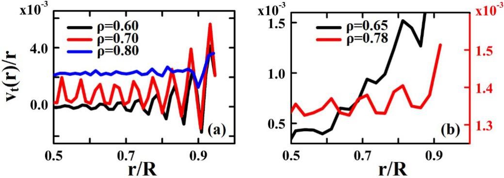
图3 通过局域晶体序、连通概率、平均缺陷数目识别不同运动模式的结构起源
研究人员结合理论计算,数值模拟和实验测量,探索了受限导致的非均匀性对活性转子集体行为的影响。他们发现手性活性物质沿约束边界存在剧烈的空间振荡的集体边缘流(图2)。在微观上,活性转子的非均匀分布导致了空间非均匀的摩擦应力,该应力是产生振荡集体运动的根源。该研究进一步表明,随着系统密度的变化,集体行为会经历三种不同的运动模式:粘性模式、粘弹性模式和弹性模式。不同运动模式转变的结构起源对应于类固区域的联通,以及缺陷引起的粒子重排(图3)。这些发现大大地提升了人们对受限条件下手性活性物质集体行为的理解,并澄清了非均匀性和可压缩性对活性系统出现集体行为的重要性。该成果发表在近期的Proc. Natl. Acad. Sci. U.S.A. 上。
米兰博士生朱红伟、中科院物理所博士后刘鹏和曾颖为论文的共同第一作者,米兰郑宁副教授和中科院物理所叶方富研究员、杨明成研究员为论文的共同通讯作者。该研究得到了中国国家自然科学基金(11874397,11674365,11774394),中国科学院前沿科学重点研究计划(QYZDB-SSW-SYS003)和K.C.Wong教育基金的支持。
文章链接:https://doi.org/10.1073/pnas.1922633117
分享到:
